登录
登录
首页
学习资源
个人中心
我的购物车
关注我们
联系我们
字体
篆书
隶书
楷书
行书
草书
搜索
先秦时期
秦汉时期
魏晋南北朝时期
隋唐五代时期
宋辽金时期
元朝时期
明朝时期
清朝时期
近现代时期
三希堂法贴
续三希堂法帖
郁孤台法帖
鼎帖
宝晋斋法帖
汝帖
群玉堂帖
雁塔题名帖
首页
>
近现代时期
>
>
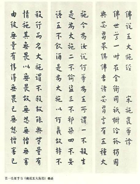
弘一法师
>
>
立轴横批等墨迹
立轴横批等墨迹
♥
高清大图
购买字帖
简介
价格:
1.00元
关闭
© 中国大百科全书出版社
京ICP备12000488号-1
地址:北京市西城区阜成门北大街17号
邮编:100037